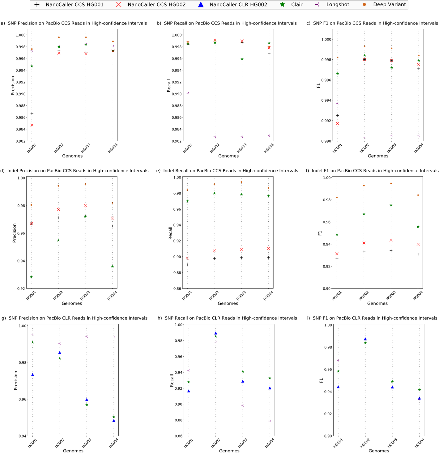
Fig. 4

Performances of NanoCaller and other variant callers on four PacBio CCS and four PacBio CLR datasets. SNP performance on whole-genome high-confidence intervals using CCS reads: a precision, b recall, c F1 score. Indel performance on whole-genome high-confidence intervals using CCS reads: d precision, e recall, f F1 score. SNP performance on whole-genome high-confidence intervals using CLR reads: g precision, h recall, i F1 score