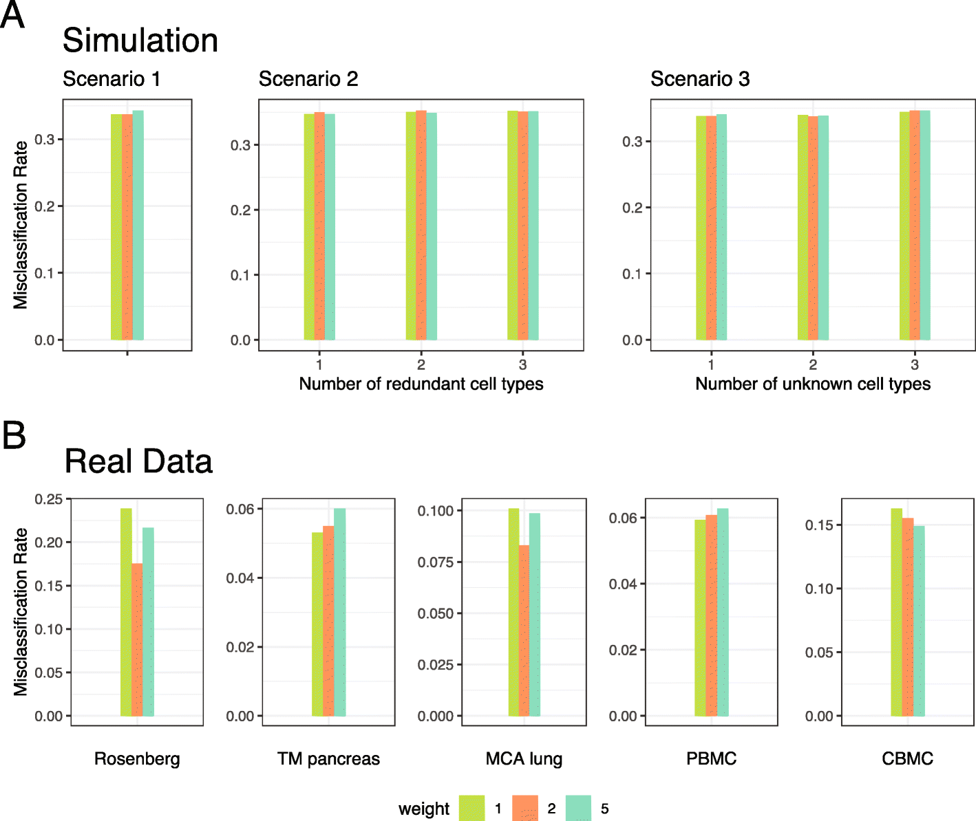
Fig. 4
From: scSorter: assigning cells to known cell types according to marker genes

The performance of scSorter with three choices (1.0, 2.0, 5.0) of marker gene weight. a The performance of scSorter on simulated data with three choices of marker gene weight. b The performance of scSorter on five real datasets with three choices of marker gene weight